全国统一客服热线:0577-27778765
详细信息
上一个:CBF系列防爆轴流风机(IIB)
下一个:FAG系列防爆壁式排风扇(IIB)
BTS系列防爆摇头扇(IIB)
BFC系列防爆吊扇(IIB)
CBF系列防爆轴流风机(IIB)
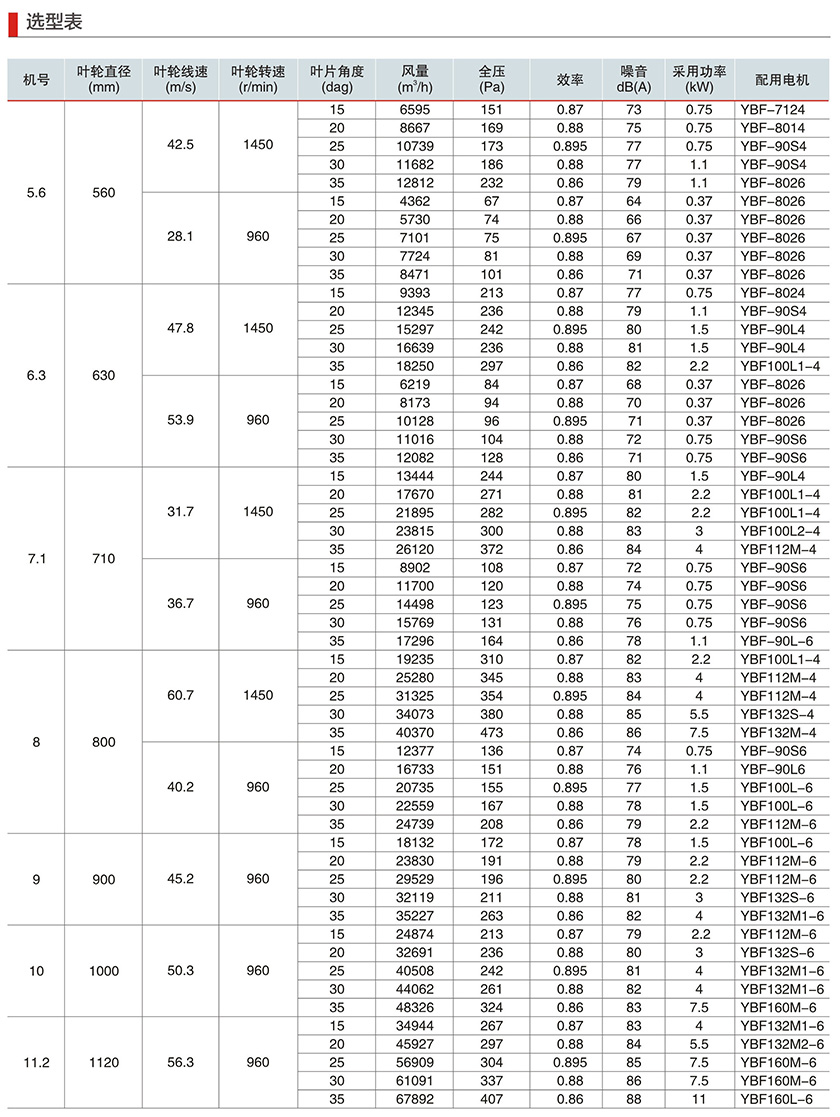
BT35-11系列防爆轴流风机(IIB)
led防爆灯 新黎明科创控股 浙江新黎明环保有限公司